HF-Spulen wickeln Home Labor Röhren HF Logbuch Bastelecke
Bei Hochfrequenzanwendungen kommt es relativ häufig vor, dass man eine Spule bestimmter Induktivität herstellen muss. Allgemein muss unterschieden werden, ob die Spule auf einen magnetisierbaren Kern gewickelt wird, oder ob sie als sogenannte Luftspule ganz ohne Wickelkern oder auf einen Isolierkörper gewickelt wird. Hier sollen zunächst Luftspulen betrachtet werden. Die gezeigte Spule hat 20 Windungen, einen Durchmesser von 16 mm und eine Länge von 35 mm. Wie groß ist ihre Induktivität?

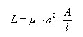
Allgemein gilt für eine lange Spule mit l>D mit der Windungszahl n, der Querschnittsfläche A in m² und der Länge l in m:


mit der magnetischen Feldkonstanten µ0=1,2466*10-6 Vs/Am. Die Formel gilt theoretisch nur für eine unendlich lange Spule, kann jedoch in brauchbarer Näherung bis zu einer Länge von l=D verwendet werden. Allgemein gilt, dass bei einer kurzen Spule mit gleicher Windungszahl die magnetische Kopplung zwischen den einzelnen Windungen steigt, womit sich eine höhere Induktivität ergibt. Umgekehrt verkleinert ein Auseinanderziehen der Windungen die Induktivität, was manchmal zum Abgleich von Spulen ausgenutzt wird.
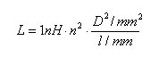
Die obige Formel lässt sich für einen kreisrunden Spulenquerschnitt zur folgenden Näherungsformel vereinfachen, wobei diesmal der Durchmesser D und die Länge l der Spule in mm angegeben werden:

Für die oben gezeigte Spule ergibt sich eine Induktivität von 2,9 µH. In der Praxis hängt die genaue Induktivität auch noch geringfügig von der Drahtdicke und vom Einbau der Spule ab, so dass oft ohnehin noch ein Feinabgleich nötig ist. Daher ist die angegebene Näherungsformel in den meisten Fällen ausreichend genau. Das folgende Programm arbeitet nach dieser Formel. Man kann eigene Werte in die Eingabefenster eintragen und erhält jeweils die Induktivität.
Und was macht man nun mit dieser Spule? Na klar, Schwingkreise bauen. So etwas kommt in fast jedem Radio vor. Die Resonanzfrequenz hängt von der Induktivität der Spule und von der Kapazität des Kondensators ab. Zur Berechnung dient die folgende Formel.

Die Rechenhilfe ergibt die Frequenz in kHz bei einer Eingabe der Induktivität in µH und der Kapazität in pF. Z.B. ergibt 2,9 µH mit 275 pF einen Schwingkreis mit 5600 kHz. Mit einem üblichen Drehko kann man also die untere Frequenzgrenze im 49-m-Band erwarten. Genau dafür wurde die Spule auch gewickelt.
Andere Beispiele:
Wenn ein Kurzwellenbereich z.B. bei 5500 kHz beginnen soll, dann wäre für Mittelwelle etwa 550 kHz angebracht. Will man mit dem selben Drehko eine zehnfach kleinere Frequenz erreichen, muss die Induktivität hundertfach größer sein. Eine Spule mit sonst gleichen Maßen müsste zehnmal mehr Windungen tragen. Entsprechend ergibt die doppelte Windungszahl die halbe Frequenz.
Für andere Spulenkörper kann man mit dem Programm etwas probieren. Auf einer leeren Toilettenpapierrolle mit einem Durchmesser von 42 mm soll z.B. eine Spule mit 300 µH für den Mittelwellenbereich gewickelt werden. Der Drahtdurchmesser sei 0,5 mm, d.h. 100 Windungen würden eine Spulenlänge von 50 mm ergeben. Jetzt kann man einfach verschiedene Werte ausprobieren und kommt auf ca. 80 Windungen.

Für den UKW-Bereich benötigt man weniger Windungen. Die folgende Spule aus einem UKW-Radio hat 5 Windungen, D=8mm, und l=10mm. Man erkennt dass sie zu Abgleichzwecken etwas auseinander gezogen wurde. Die Rechnung ergibt. eine Induktivität von 0,16 µH. Mit 20 pF kommt man damit auf 88,9 MHz, also praktisch genau an den unteren Rand des UKW-Bereichs.

Die bisherigen Beispiele zeigten Luftspulen. Aber wie geht das, wenn ein Ferritkern verwendet wird? Meist hat man ja keine genauen Daten des Kerns. Man muss also abschätzen lernen, um welchen Faktor der Kern die Induktivität vergrößert bzw. die Frequenz verkleinert. Im folgenden Beispiel hat die Spule n=18 (insgesamt, Anzapfungen spielen keine Rolle), l=12mm und D=8mm. Für eine reine Luftspule kommt man damit auf 1,7 µH. In der Anwendung mit einem Drehko von 275 pF kam die Spule jedoch mit ganz hereingedrehtem Kern herunter bis 5 MHz., also auf ca. 3,7 µH. Mit dem Kern kann die Frequenz also etwa halbiert werden, d.h. die Induktivität wird bis zu vierfach größer. Ein längerer Mittelwellen-Ferritstab kann entsprechend die Induktivität etwa verzehnfachen.

Manch großes Ziel
erfordert nicht viel.
(Dietrich Drahtlos)
Frank Behlich hat das Programm in Python umgesetzt. Damit kann man es auch auf einem Linux-PC oder auf dem Raspbery Pi verwenden:

Siehe auch:
Online-Rechner im Elektronik-Labor, Induktivität einer Drahtschleife und weitere Themen
Nachtrag: Messung von Induktivitäten
Michael Gaedtke hat ein Messverfahren zur Bestimmung größerer
Induktivitäten mit PC und Soundkarte entwickelt: www.michaelgaedtke.de/
Ergänzung, gefunden von Heinz D.
Beim
Wickeln von Spulen sind zwei Größen vorgegeben: die
gewünschte Induktivität L/nH und der Drahtdurchmesser d/mm
(einfach weil er gerade zur Hand ist). Die Güte Q=XL/R=w*L/R ist
frequenzabhängig. Für eine Beurteilung bei der gleichen
Frequenz können Sie die Frequenz weglassen: Q/w=L/R, Q~L/R
(w=Omega). Der elektrische Widerstand ist R/Ohm=4*ld/kappa/d/d/pi
(ld/m=Drahtlänge, kappa=56). Je kürzer der Draht (bei
gleicher Induktivität), um so besser die Güte.
Für die folgenden Überlegungen benötigen Sie den Formaktor k=D/l (D/mm=Spulendurchmesser, l/mm=Spulenlänge):
k<0,5, sehr lange Spulen, L=u0*ur*D*D*pi/4*n*n/l, (mit ur=1 für Luft, wie in Bastel95)
(Für
die Toroid-, Ring- oder Donut-Spule ohne Kern gilt die gleiche Formel,
D=Durchmesser einer Windung, l=mittlere Feldlinienlänge innerhalb
des Ringes.)
k>10..100..1000, sehr kurze Spulen = Loops
sollen als Antennen viel HF-Energie einfangen oder abstrahlen, deshalb
ist n=1-3. L=0,0002*pi*D*(ln(8*D/l)-2) (Berechnung siehe www.Elektronik-Labor.de/OnlineRechner).
Ggekürzt, vereinfacht und um n erweitert: L/uH=0,6283*D*n*n*ln(k)
k=0,5..10, L=u0*ur*D*D*pi/4*n*n/(l+D/2,2), (Rose-Formelsammlung und Wikipedia),
Konstanten für Luft zusammengefasst: u0*pi/4=979e-6uH/mm
L=979e-6uH/mm*D*D*n*n/(l+D/2,2)
im Nenner ist erkennbar, dass ein k=2,2 optimal ist, ein k=1..5 ist noch sehr gut
Mit der letzten Formel können Sie MW-Spulen auf WC-Rollen nachrechnen.
Beispiele:
D=42mm, d=0,5mm, n=100, l=d*n=50mm, k=42/50=0,84, Drahtlänge =D*pi*n/1000m/mm =13,2m
L=979e-6uH/mm *42mm *42mm *100 *100 /(50mm +42mm/2,2)
L=979e-6uH/mm *17,64e6mm /69,1
L=17270uH /69,1=
L=249uH
D=42mm, d=0,5mm, n=80, l=d*n=40mm, k=42/40=1,05, Drahtlänge=10,5m
L=979e-6uH/mm *42mm *42mm *80 *80 /(40mm +42mm/2,2)
L=979e-6uH/mm *11,29e6mm /59,1
L=11053uH /59,1
L=187uH
Die optimale Spulenlänge für eine WC-Rolle D=42mm ist l=42mm/2,2=19,1mm.
Bei d=0,2mm, n=85, L=348uH (524kHz/265pF, Drahtlänge=11,22m).
Bei d=1,5mm, n=12, L=3,2uH (3766kHZ/265pF, Drahtlänge=1,58m)
Wenn
Sie noch weniger Draht verwenden wollen, dann können Sie die
beiden 265pF Drehkondensatoren parallel schalten. Mit 530pF ist nur
noch die halbe Induktivität erforderlich. Die Drahtlänge
verringert sich um 1/Wurzel(2)=0,707. Die Güte verringert sich
ebenfalls auf Q*0,707!
Beispiele:
D=42mm, d=0,3mm, n=62, l=18,6mm, L=177uH (530pF/520kHz, Drahtlänge 8,18m)
D=42mm, d=2mm (2*1mm parallel gewickelt), n=8, l=16mm, L=3,2uH (530pF/3885kHz, Drahtlänge 1,06m)
Bisher
wurde von einer Lage Windungen ausgegangen. Jeder weiss, zieht man die
Windungen auseinander, verringert sich die Induktivität.
Drückt man die Windungen stark zusammen (z.B. 2 Lagen) erhöht
sich die Induktivität. Infolge der Kapazität, die zwischen
den Lagen entsteht, sind mehrlagige Spulen nur bis etwa 300kHZ
einsetzbar. Die Formel ist bis ca. 5 Lagen mit guter Näherung
verwendbar.
Beispiele:
D=42mm, d=0,2mm, n=3*70=210, l=14,0mm, L=2315uH (530pF/144kHz, Drahtlänge 27,71m)
D=42mm, d=0,3mm, n=4*53=212, l=15,9mm, L=2230uH (530pF/146kHz, Drahtlänge 27,97m)
D=42mm, d=0,4mm, n=5*42=210, l=16,8mm, L=2133uH (530pF/150kHz, Drahtlänge 27,71m)
Zum
Schluss noch zwei Anwendungen: Wenn Sie den KW-Empfänger
tagsüber benutzen wollen und keine Langdrahtantenne haben,
können Sie sich aus ca.2m Draht eine Rahmenantenne aus 2 Windungen
anfertigen (ca.3-4uH). Die Drehkos parallel schalten, die interne Spule
ab- und die externe anlöten.

Die
Tecsun AN-200 MW-Rahmenantenne, Durchmesser D=225mm, Spulenlänge
l=24mm, k=9,4, Windungen n=28, Drahtdurchmesser d=0,85mm,
Drahtlänge 19,8m, L=311uH. Die Selektivität ist gut, die
Spannung ist geringer als erwartet. Fazit: die AN-200 weckt
Erwartungen, die sie nicht ganz halten kann. Eine gute Ferritantenne
leistet das gleiche und ist kleiner.



